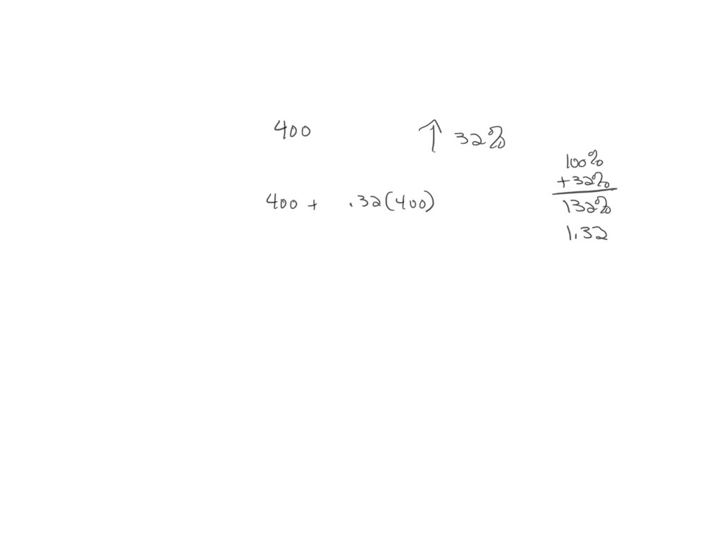
Find The Price Of A $400 Telescope After A 32 Markup . We can do this using the. For faster and more accurate.   calculate the markup percentage on the product cost, the final revenue or selling price and, the value of the gross profit. 97% ( 415 rated) helpful. So we want to know which expression can be used to find the price of a 400 dollar telescope after a 32. Next, we need to add the markup amount to the original price to find the final price. We need to find the price of a $400 telescope after a 32% markup.
        
        from www.bresser.de 
     
        
        Next, we need to add the markup amount to the original price to find the final price. So we want to know which expression can be used to find the price of a 400 dollar telescope after a 32. 97% ( 415 rated) helpful. For faster and more accurate. We can do this using the.   calculate the markup percentage on the product cost, the final revenue or selling price and, the value of the gross profit. We need to find the price of a $400 telescope after a 32% markup.
    
    	
            
	
		 
         
    Bresser BRESSER Automatik 80/400 Telescope with GoTo Expand Your 
    Find The Price Of A $400 Telescope After A 32 Markup  We need to find the price of a $400 telescope after a 32% markup. Next, we need to add the markup amount to the original price to find the final price. For faster and more accurate. 97% ( 415 rated) helpful. We can do this using the. So we want to know which expression can be used to find the price of a 400 dollar telescope after a 32.   calculate the markup percentage on the product cost, the final revenue or selling price and, the value of the gross profit. We need to find the price of a $400 telescope after a 32% markup.
            
	
		 
         
 
    
        From www.reemandansie.com 
                    Lot 2595 Astral 400 telescope on tripod stand Find The Price Of A $400 Telescope After A 32 Markup  97% ( 415 rated) helpful. So we want to know which expression can be used to find the price of a 400 dollar telescope after a 32. We need to find the price of a $400 telescope after a 32% markup.   calculate the markup percentage on the product cost, the final revenue or selling price and, the value of. Find The Price Of A $400 Telescope After A 32 Markup.
     
    
        From offerup.com 
                    Jason Model 307 Explorer Telescope 400 for Sale in Arlington, TX OfferUp Find The Price Of A $400 Telescope After A 32 Markup  We can do this using the. We need to find the price of a $400 telescope after a 32% markup. So we want to know which expression can be used to find the price of a 400 dollar telescope after a 32. Next, we need to add the markup amount to the original price to find the final price. 97%. Find The Price Of A $400 Telescope After A 32 Markup.
     
    
        From www.sportsmansguide.com 
                    Carson Optics RP400 Red Series 50x100x Telescope 216006 Find The Price Of A $400 Telescope After A 32 Markup  97% ( 415 rated) helpful. So we want to know which expression can be used to find the price of a 400 dollar telescope after a 32. For faster and more accurate. We need to find the price of a $400 telescope after a 32% markup.   calculate the markup percentage on the product cost, the final revenue or selling. Find The Price Of A $400 Telescope After A 32 Markup.
     
    
        From www.numerade.com 
                    SOLVED Which expression can be used to find the price of a 400 Find The Price Of A $400 Telescope After A 32 Markup  We can do this using the. So we want to know which expression can be used to find the price of a 400 dollar telescope after a 32.   calculate the markup percentage on the product cost, the final revenue or selling price and, the value of the gross profit. 97% ( 415 rated) helpful. Next, we need to add. Find The Price Of A $400 Telescope After A 32 Markup.
     
    
        From www.the-saleroom.com 
                    Prinz astral 400 telescope tripod & box Find The Price Of A $400 Telescope After A 32 Markup    calculate the markup percentage on the product cost, the final revenue or selling price and, the value of the gross profit. For faster and more accurate. Next, we need to add the markup amount to the original price to find the final price. We need to find the price of a $400 telescope after a 32% markup. So we. Find The Price Of A $400 Telescope After A 32 Markup.
     
    
        From thebigbangoptics.com 
                    Best Telescope For The Money 2020; Reviews & Buying Guide The Big Find The Price Of A $400 Telescope After A 32 Markup  97% ( 415 rated) helpful. We need to find the price of a $400 telescope after a 32% markup. Next, we need to add the markup amount to the original price to find the final price.   calculate the markup percentage on the product cost, the final revenue or selling price and, the value of the gross profit. So we. Find The Price Of A $400 Telescope After A 32 Markup.
     
    
        From www.reemandansie.com 
                    Lot 2595 Astral 400 telescope on tripod stand Find The Price Of A $400 Telescope After A 32 Markup  Next, we need to add the markup amount to the original price to find the final price. We can do this using the. For faster and more accurate. We need to find the price of a $400 telescope after a 32% markup. 97% ( 415 rated) helpful.   calculate the markup percentage on the product cost, the final revenue or. Find The Price Of A $400 Telescope After A 32 Markup.
     
    
        From extra.ge 
                    National Geographic 70/400 Telescope With backpack ტელესკოპი Extra.ge Find The Price Of A $400 Telescope After A 32 Markup  So we want to know which expression can be used to find the price of a 400 dollar telescope after a 32. Next, we need to add the markup amount to the original price to find the final price. For faster and more accurate.   calculate the markup percentage on the product cost, the final revenue or selling price and,. Find The Price Of A $400 Telescope After A 32 Markup.
     
    
        From etsy.com 
                    Last chance Vintage Jason Explorer 400 Telescope Find The Price Of A $400 Telescope After A 32 Markup  So we want to know which expression can be used to find the price of a 400 dollar telescope after a 32. Next, we need to add the markup amount to the original price to find the final price.   calculate the markup percentage on the product cost, the final revenue or selling price and, the value of the gross. Find The Price Of A $400 Telescope After A 32 Markup.
     
    
        From www.numerade.com 
                    Select all the expressions that can be used to find the price of a 400 Find The Price Of A $400 Telescope After A 32 Markup  Next, we need to add the markup amount to the original price to find the final price. For faster and more accurate.   calculate the markup percentage on the product cost, the final revenue or selling price and, the value of the gross profit. We can do this using the. We need to find the price of a $400 telescope. Find The Price Of A $400 Telescope After A 32 Markup.
     
    
        From www.optique-pro.fr 
                    Télescope Dobson Orion N 100/400 SkyScanner DOB Find The Price Of A $400 Telescope After A 32 Markup  Next, we need to add the markup amount to the original price to find the final price. We need to find the price of a $400 telescope after a 32% markup.   calculate the markup percentage on the product cost, the final revenue or selling price and, the value of the gross profit. For faster and more accurate. So we. Find The Price Of A $400 Telescope After A 32 Markup.
     
    
        From www.bhphotovideo.com 
                    Carson 90mm f/11 EQ Refractor Telescope RP400 B&H Find The Price Of A $400 Telescope After A 32 Markup  We need to find the price of a $400 telescope after a 32% markup. 97% ( 415 rated) helpful.   calculate the markup percentage on the product cost, the final revenue or selling price and, the value of the gross profit. For faster and more accurate. Next, we need to add the markup amount to the original price to find. Find The Price Of A $400 Telescope After A 32 Markup.
     
    
        From www.pinterest.com 
                    Coleman 70400 AstroWatch 70 400x70 Refractor Telescope W/ Tripod/Case Find The Price Of A $400 Telescope After A 32 Markup  We can do this using the. So we want to know which expression can be used to find the price of a 400 dollar telescope after a 32. For faster and more accurate. 97% ( 415 rated) helpful. We need to find the price of a $400 telescope after a 32% markup.   calculate the markup percentage on the product. Find The Price Of A $400 Telescope After A 32 Markup.
     
    
        From www.sirius-optics.com.au 
                    Saxon 80/400 AZ3 Refractor Telescope for Beginners Find The Price Of A $400 Telescope After A 32 Markup  So we want to know which expression can be used to find the price of a 400 dollar telescope after a 32. For faster and more accurate.   calculate the markup percentage on the product cost, the final revenue or selling price and, the value of the gross profit. We need to find the price of a $400 telescope after. Find The Price Of A $400 Telescope After A 32 Markup.
     
    
        From www.optics-pro.com 
                    Skywatcher AC 80/400 StarTravel AZ3 telescope Find The Price Of A $400 Telescope After A 32 Markup  For faster and more accurate. So we want to know which expression can be used to find the price of a 400 dollar telescope after a 32. We need to find the price of a $400 telescope after a 32% markup. 97% ( 415 rated) helpful. Next, we need to add the markup amount to the original price to find. Find The Price Of A $400 Telescope After A 32 Markup.
     
    
        From www.amazon.co.uk 
                    Upchase Astronomical Telescope, 400/70mm Black, Refractor Telescope for Find The Price Of A $400 Telescope After A 32 Markup  We can do this using the. 97% ( 415 rated) helpful. We need to find the price of a $400 telescope after a 32% markup. Next, we need to add the markup amount to the original price to find the final price. So we want to know which expression can be used to find the price of a 400 dollar. Find The Price Of A $400 Telescope After A 32 Markup.
     
    
        From www.bresser.de 
                    Bresser NATIONAL GEOGRAPHIC 40/400 tabletop telescope Expand Your Find The Price Of A $400 Telescope After A 32 Markup  We need to find the price of a $400 telescope after a 32% markup. 97% ( 415 rated) helpful. We can do this using the. So we want to know which expression can be used to find the price of a 400 dollar telescope after a 32. For faster and more accurate.   calculate the markup percentage on the product. Find The Price Of A $400 Telescope After A 32 Markup.
     
    
        From www.10kya.com 
                    Buy Online India Star Tracker Refractor Telescopes 80/400 TableTop Find The Price Of A $400 Telescope After A 32 Markup  So we want to know which expression can be used to find the price of a 400 dollar telescope after a 32. For faster and more accurate. Next, we need to add the markup amount to the original price to find the final price. 97% ( 415 rated) helpful. We can do this using the.   calculate the markup percentage. Find The Price Of A $400 Telescope After A 32 Markup.